繁体
网站首页
首页
机构概况
新闻资讯
政府信息公开
办事服务
互动交流
当前位置:
首页
>
新闻资讯
>
通知公告
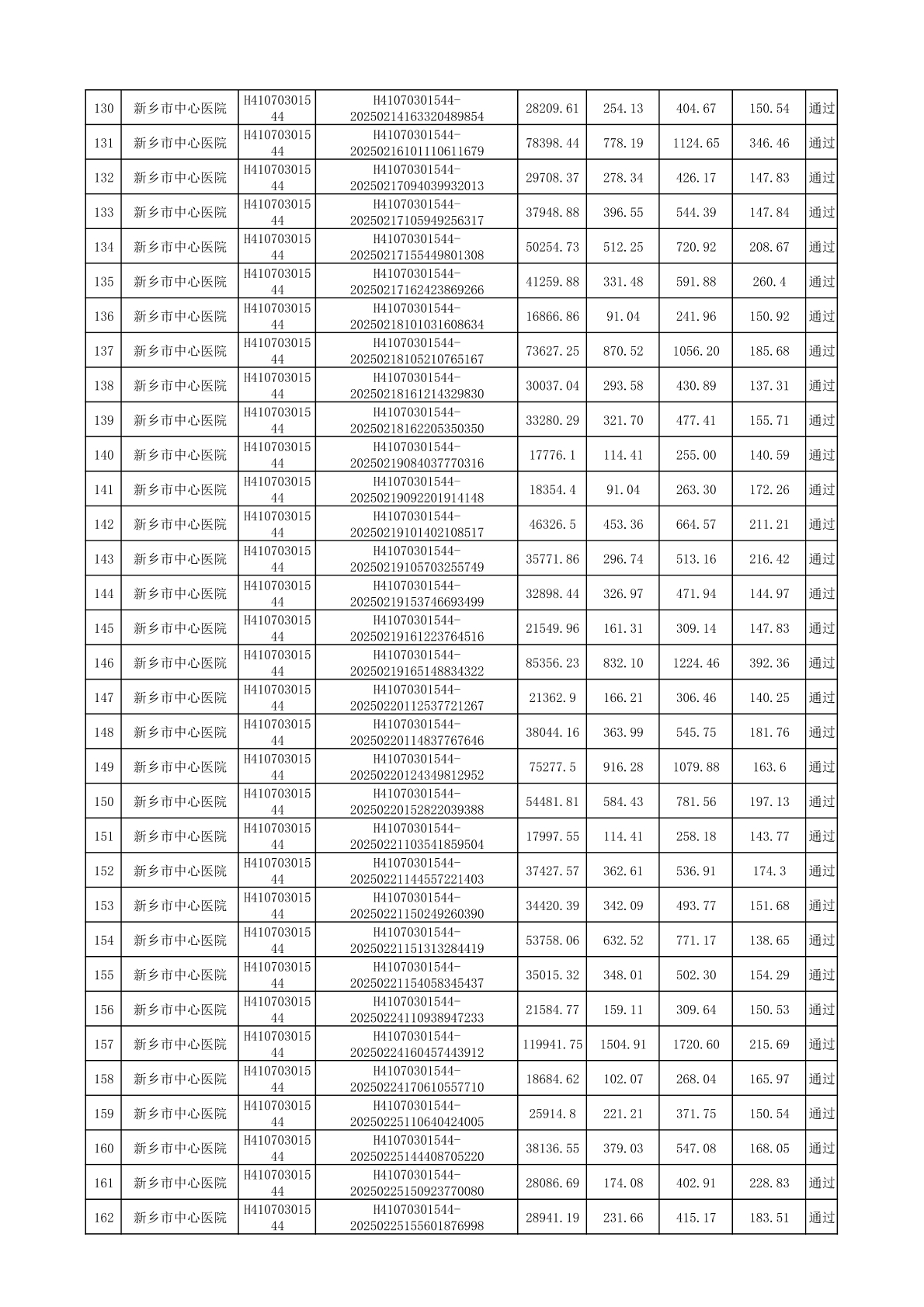
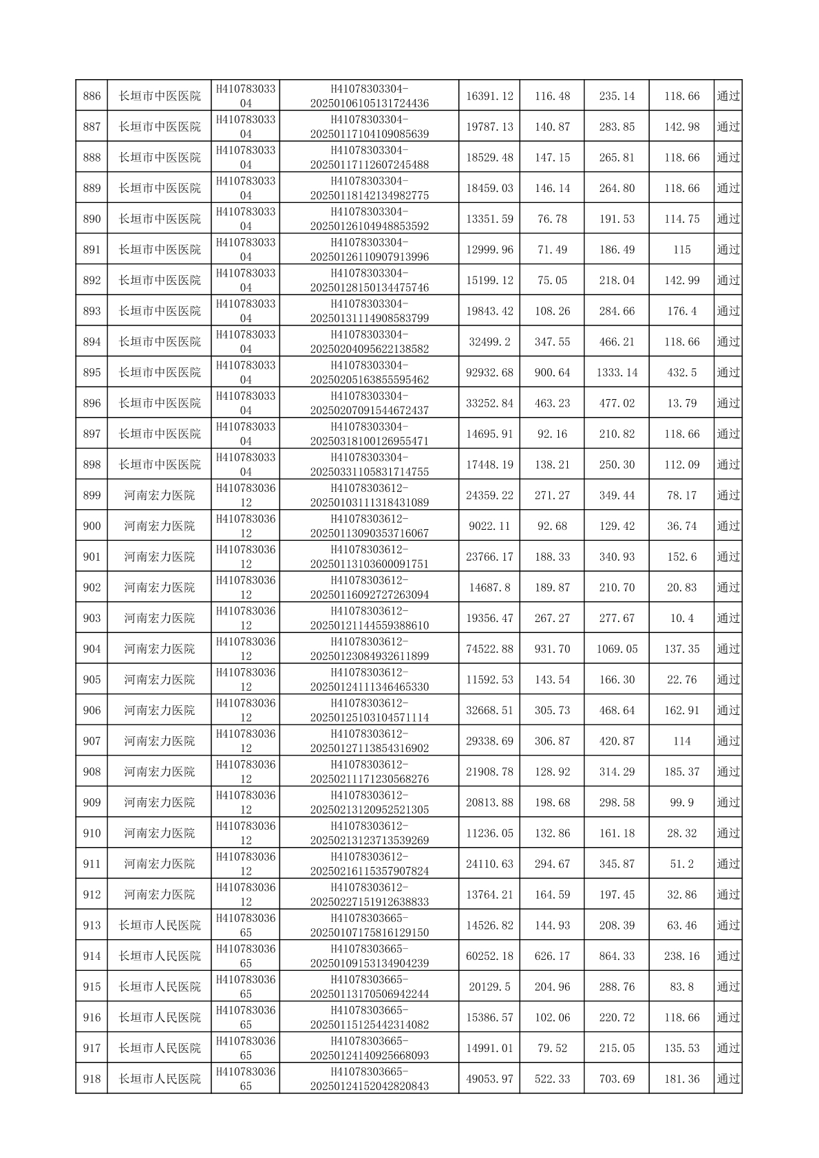
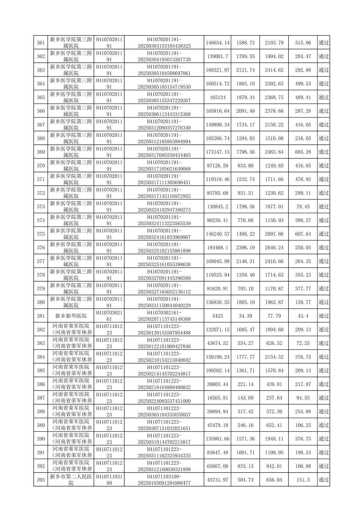
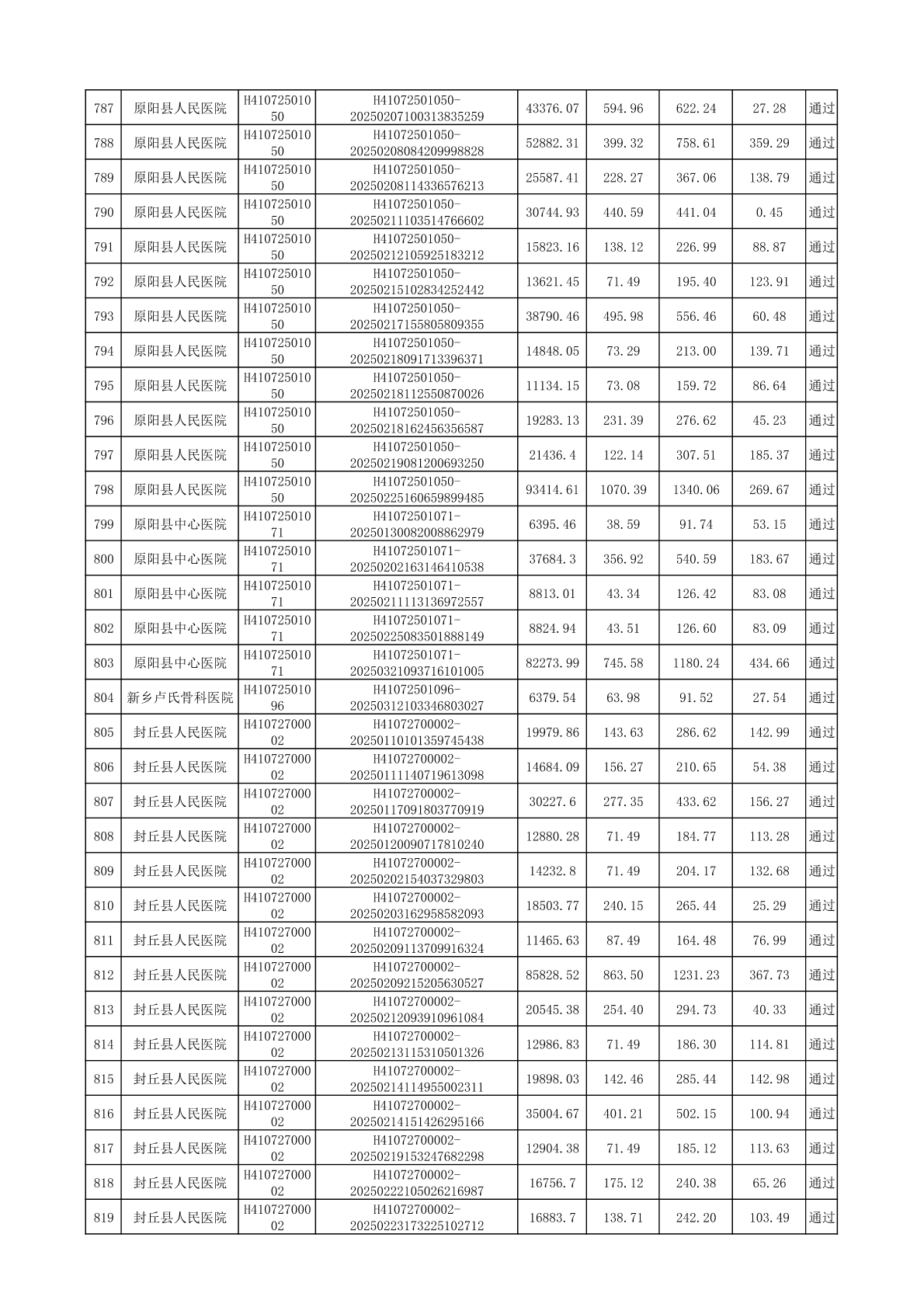
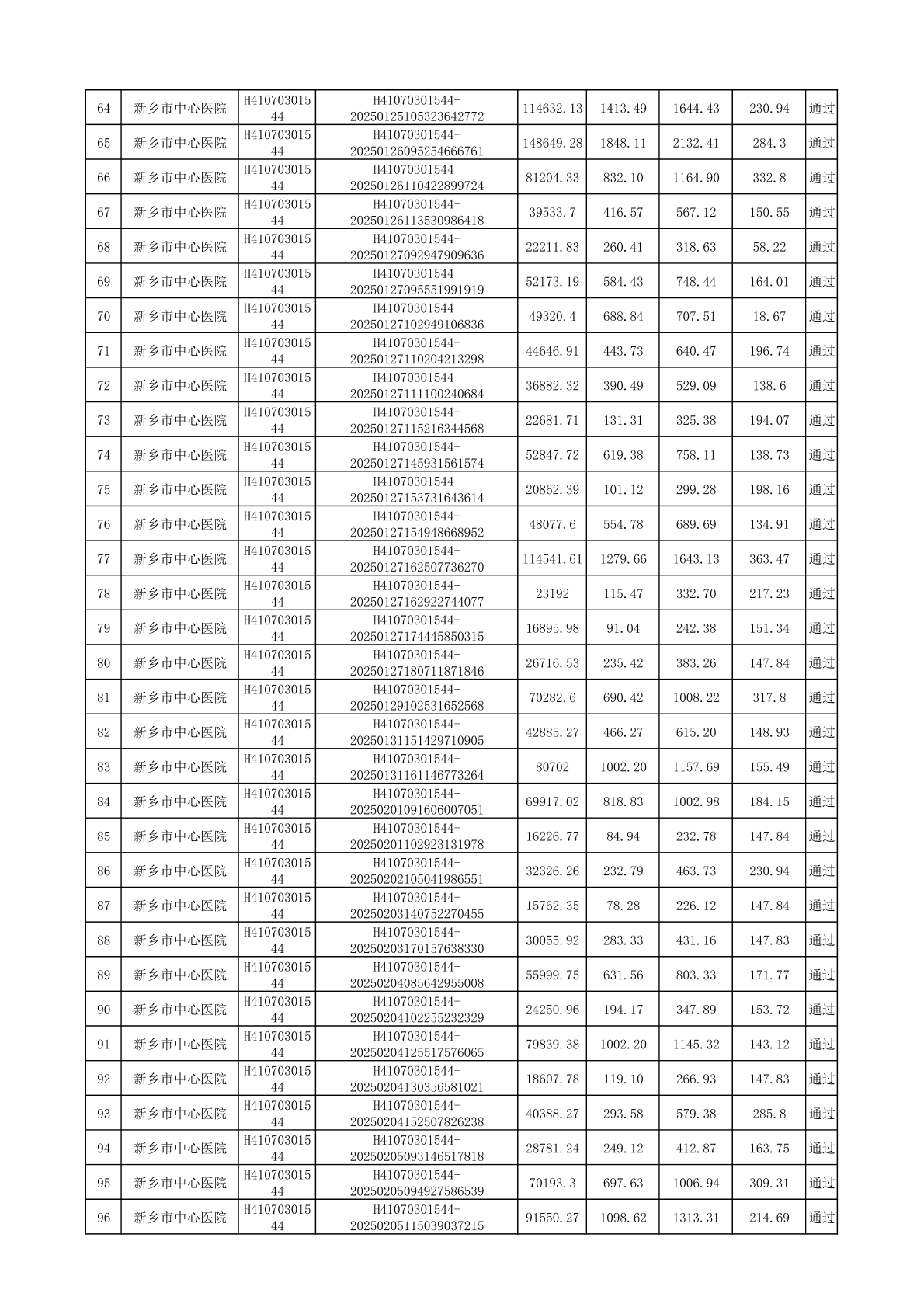
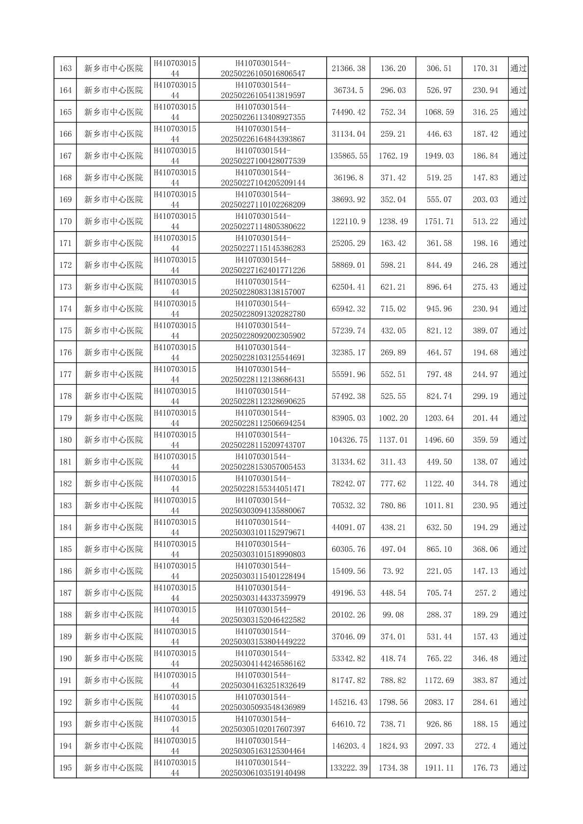
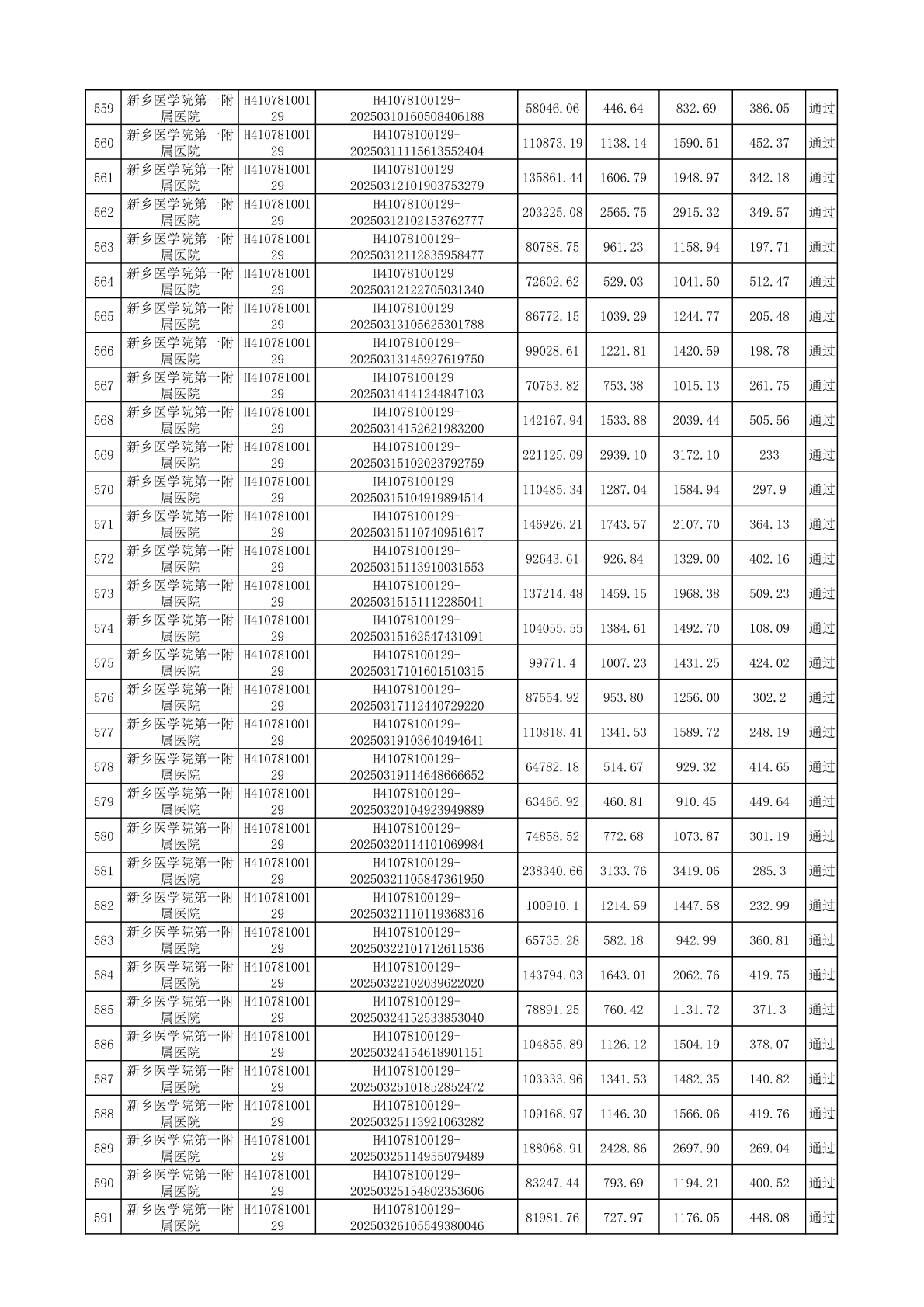
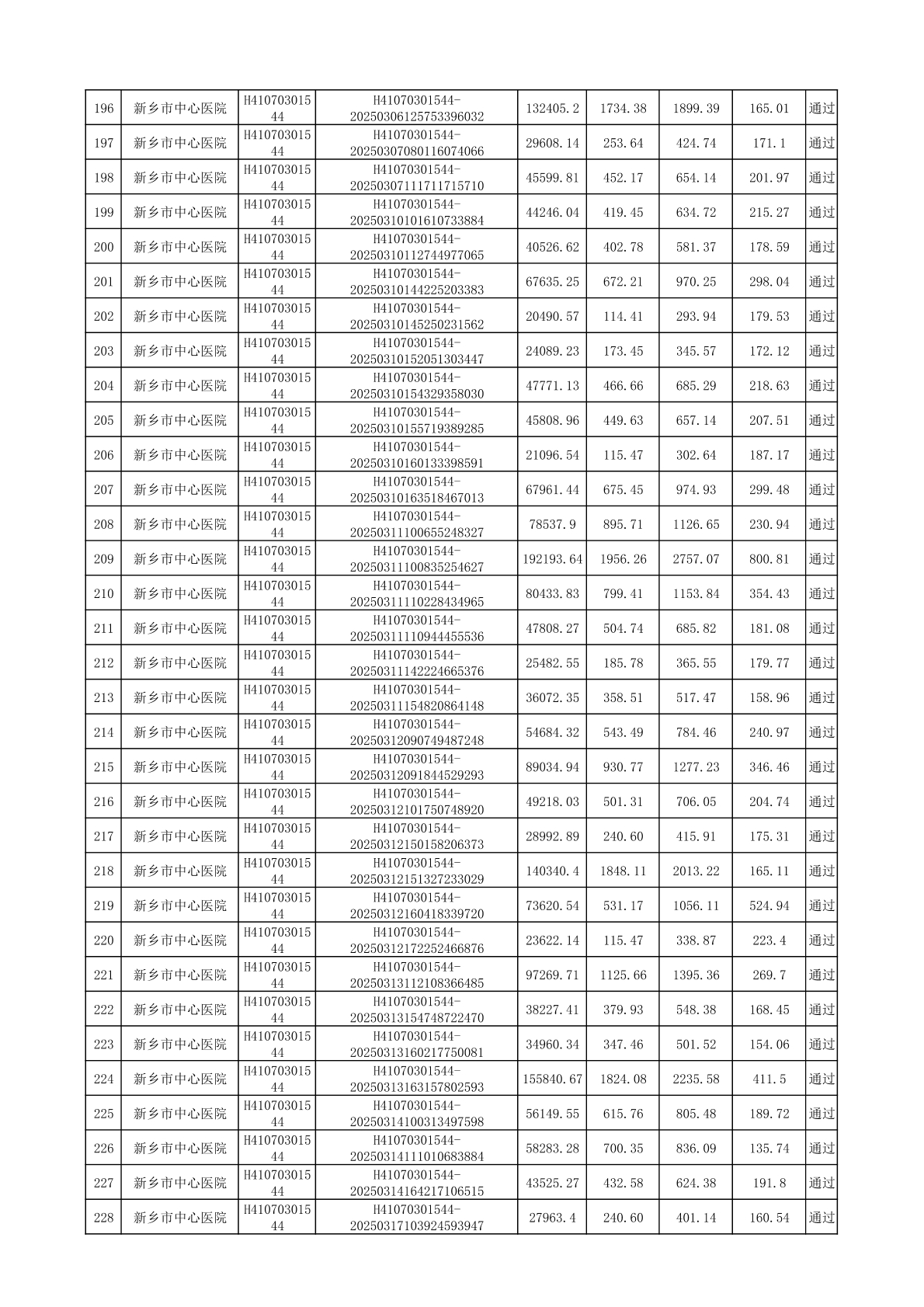
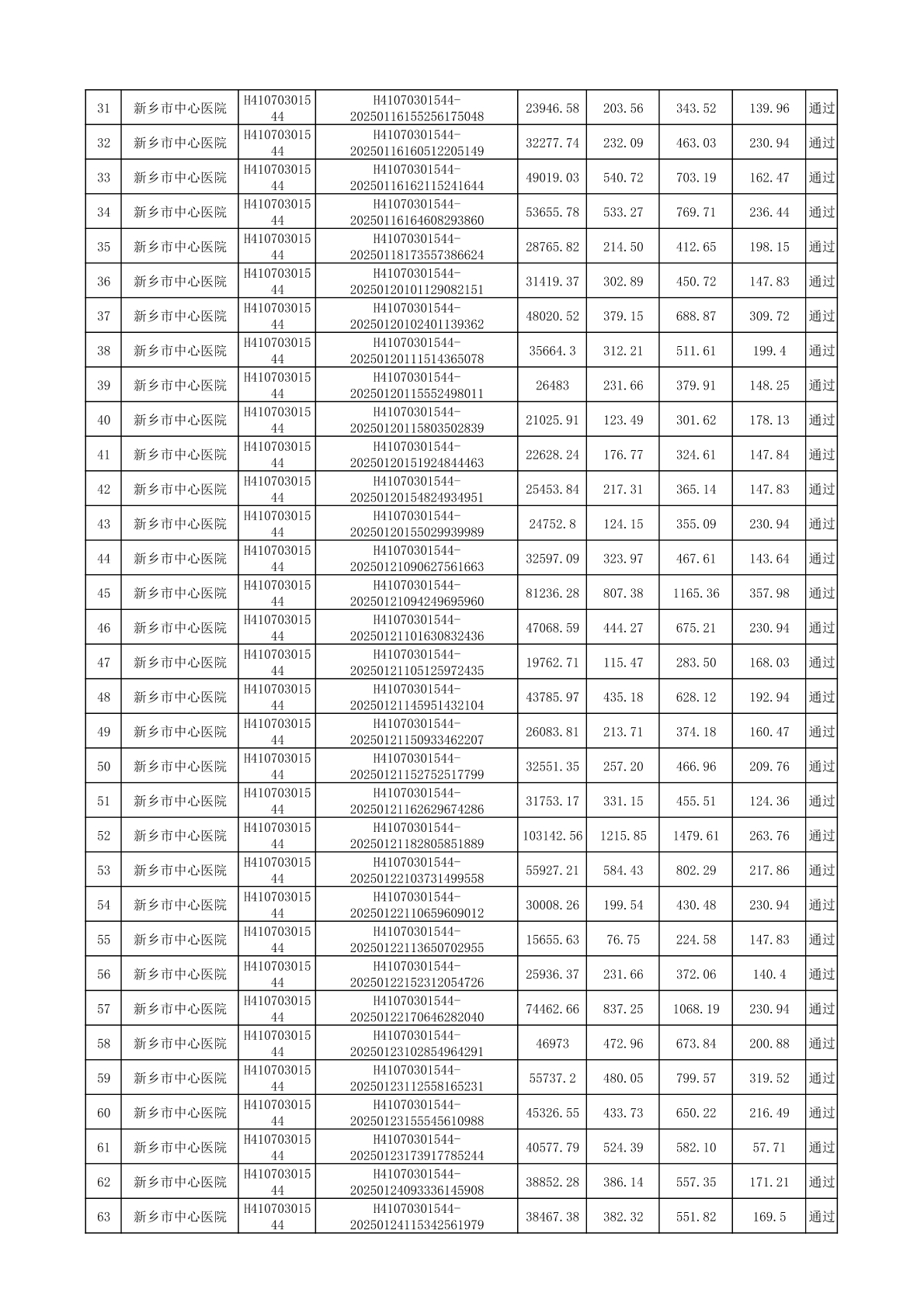
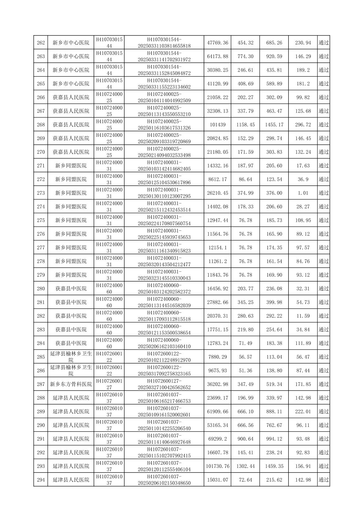
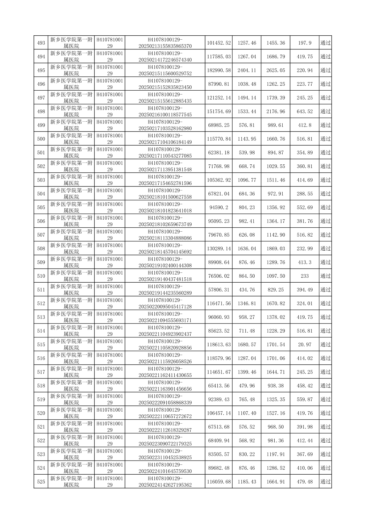
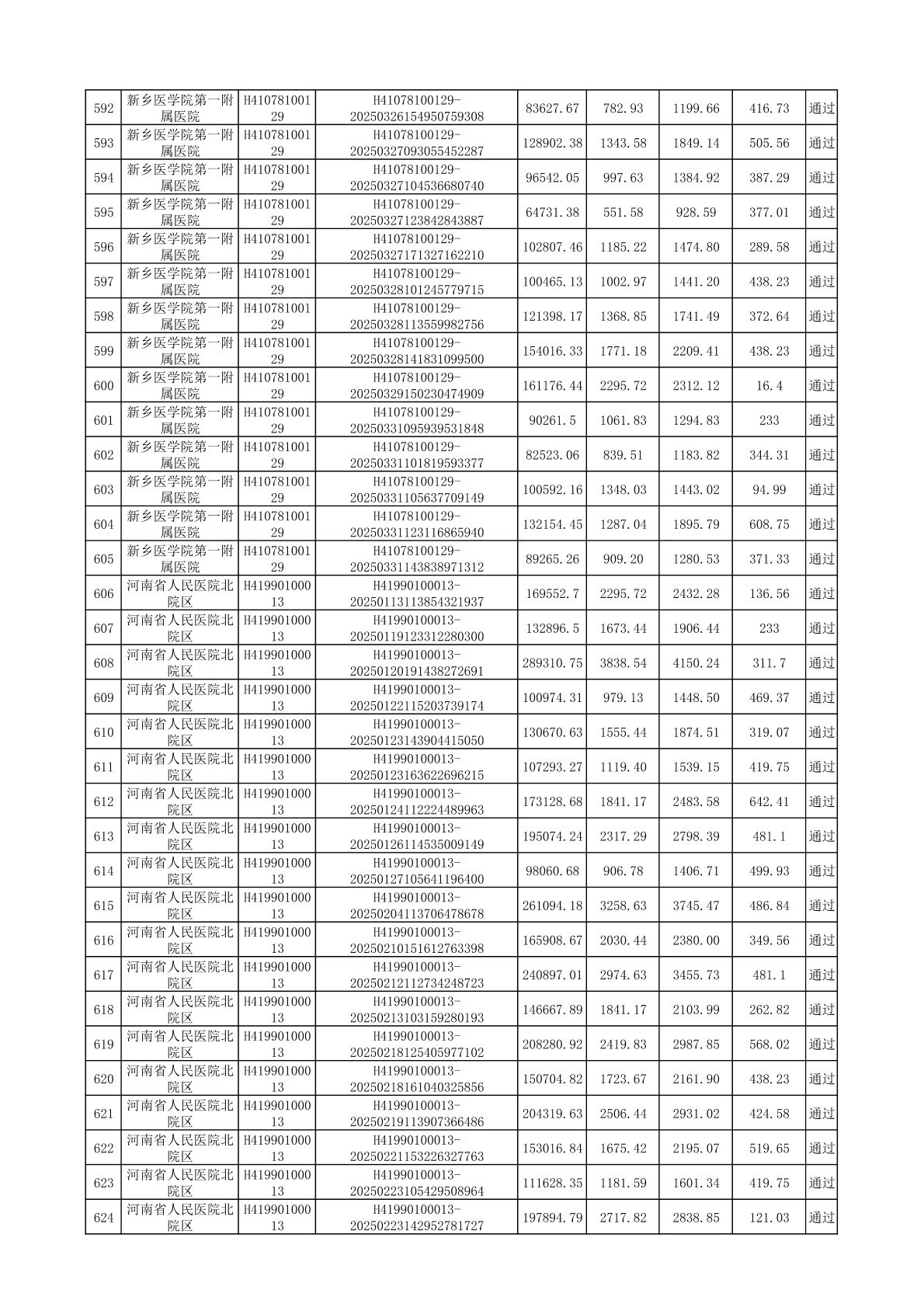
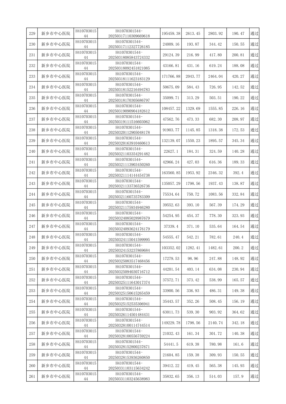
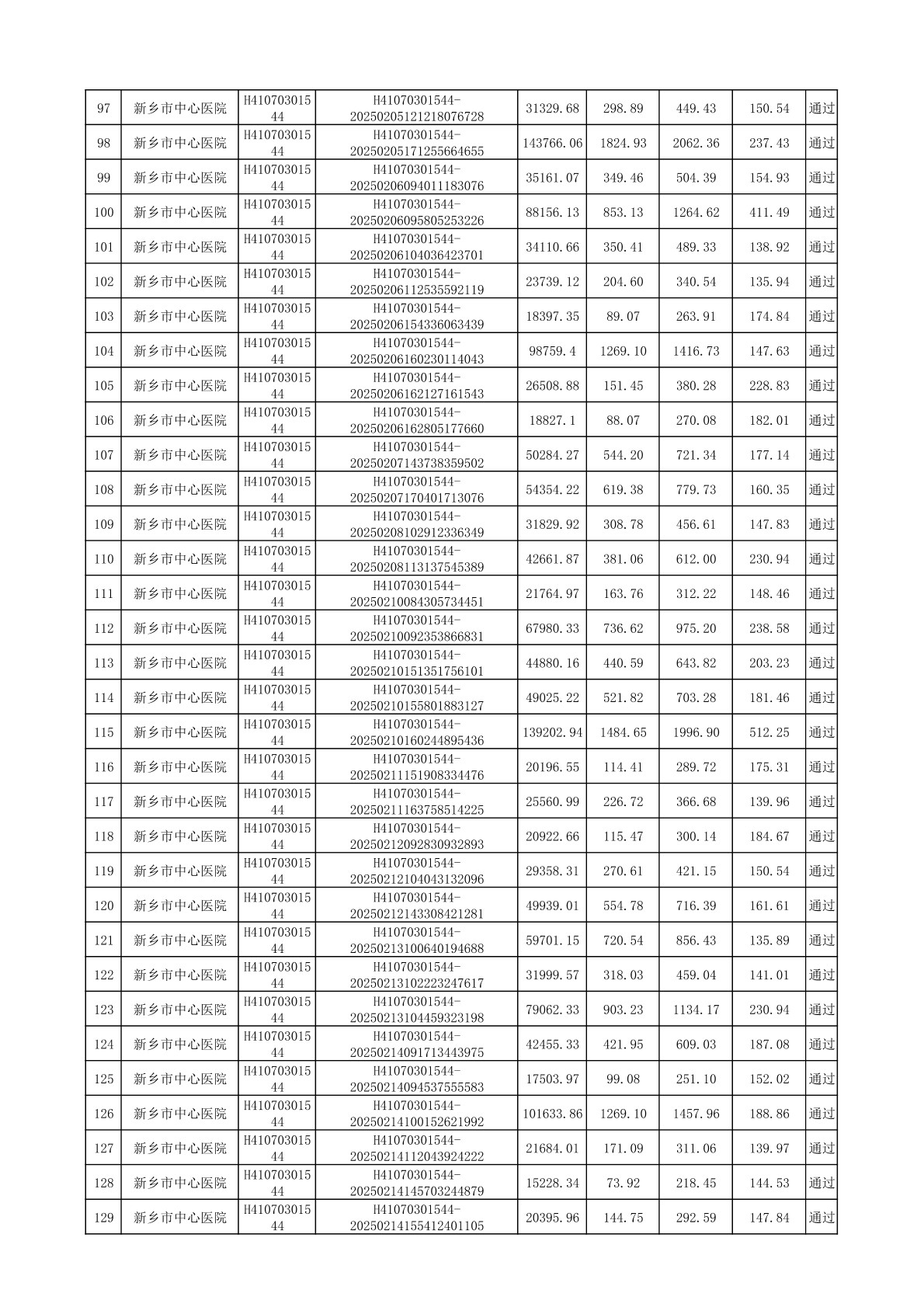
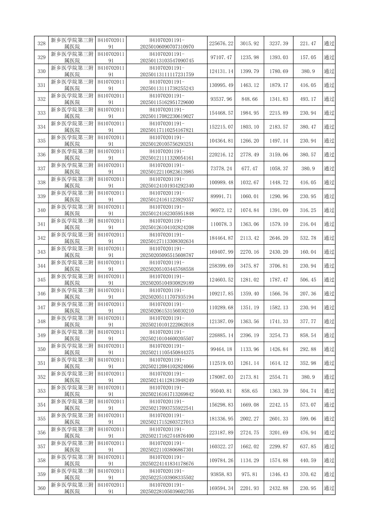
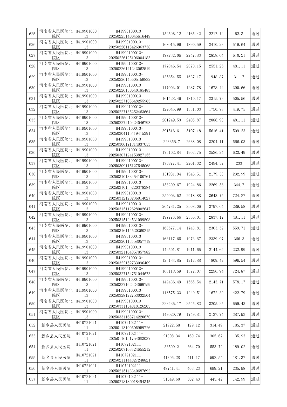
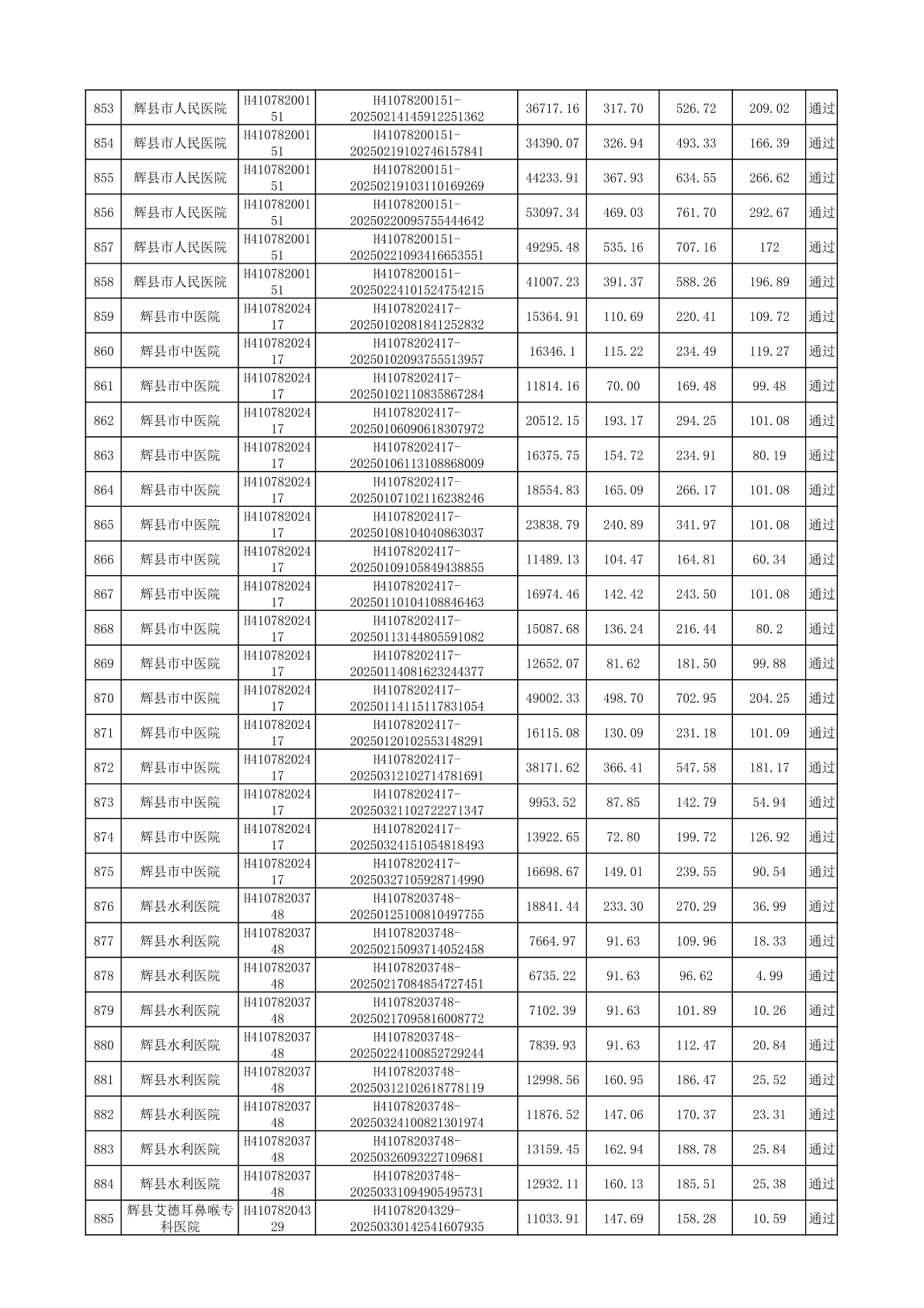
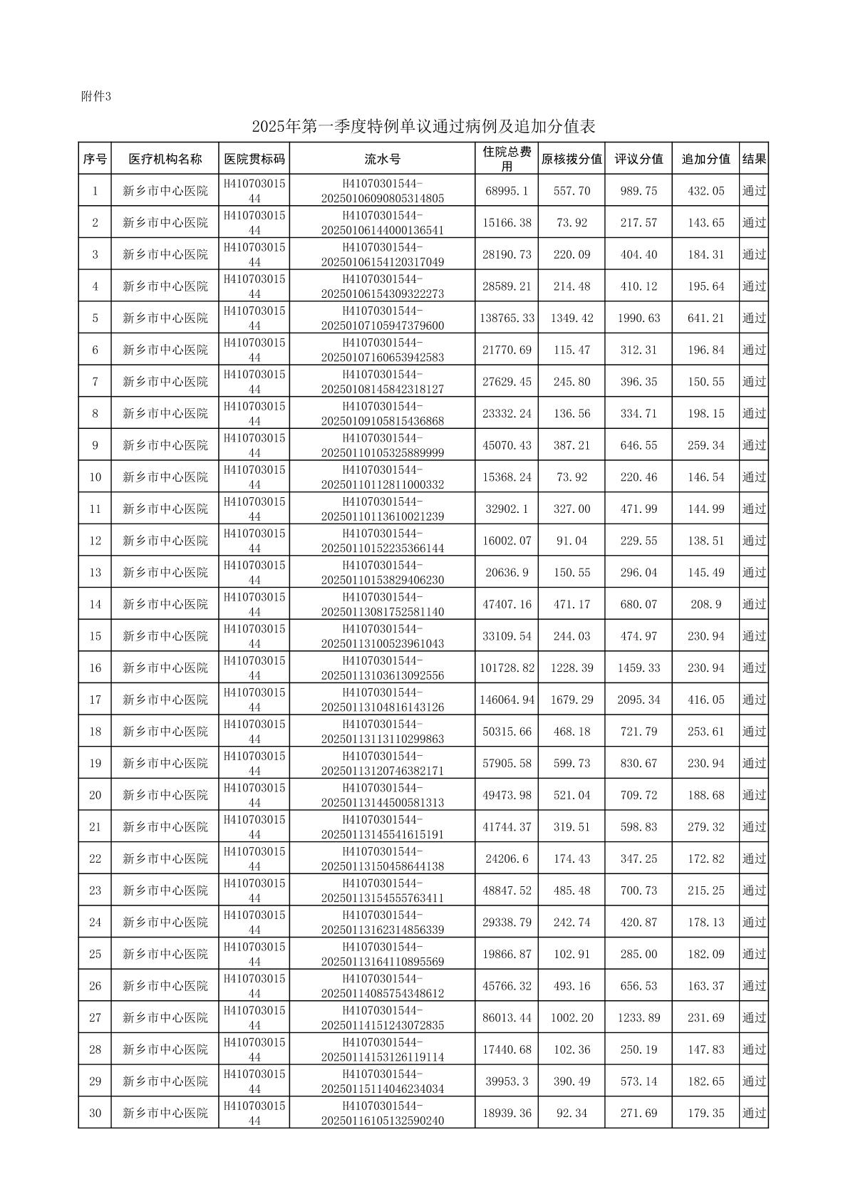
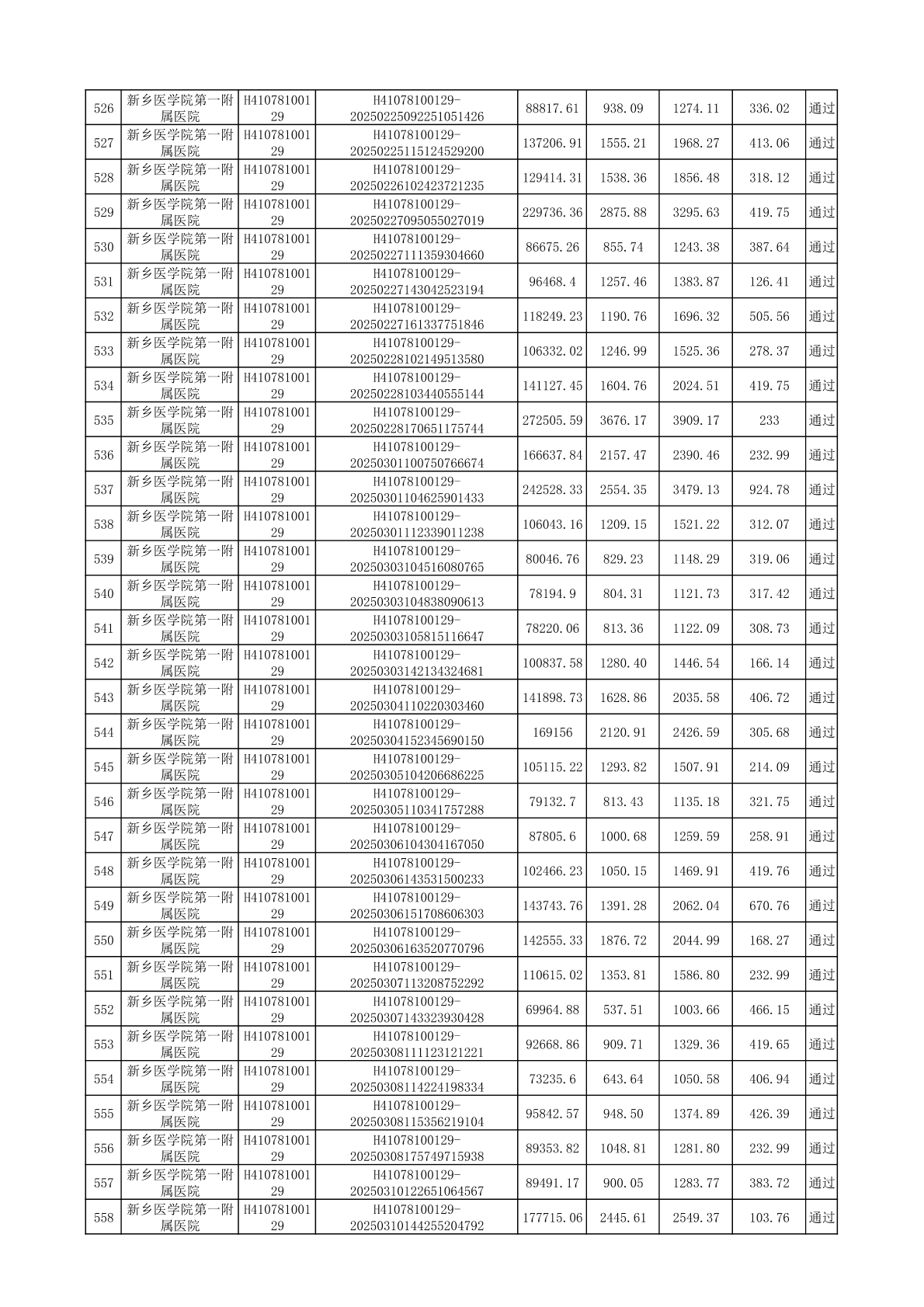
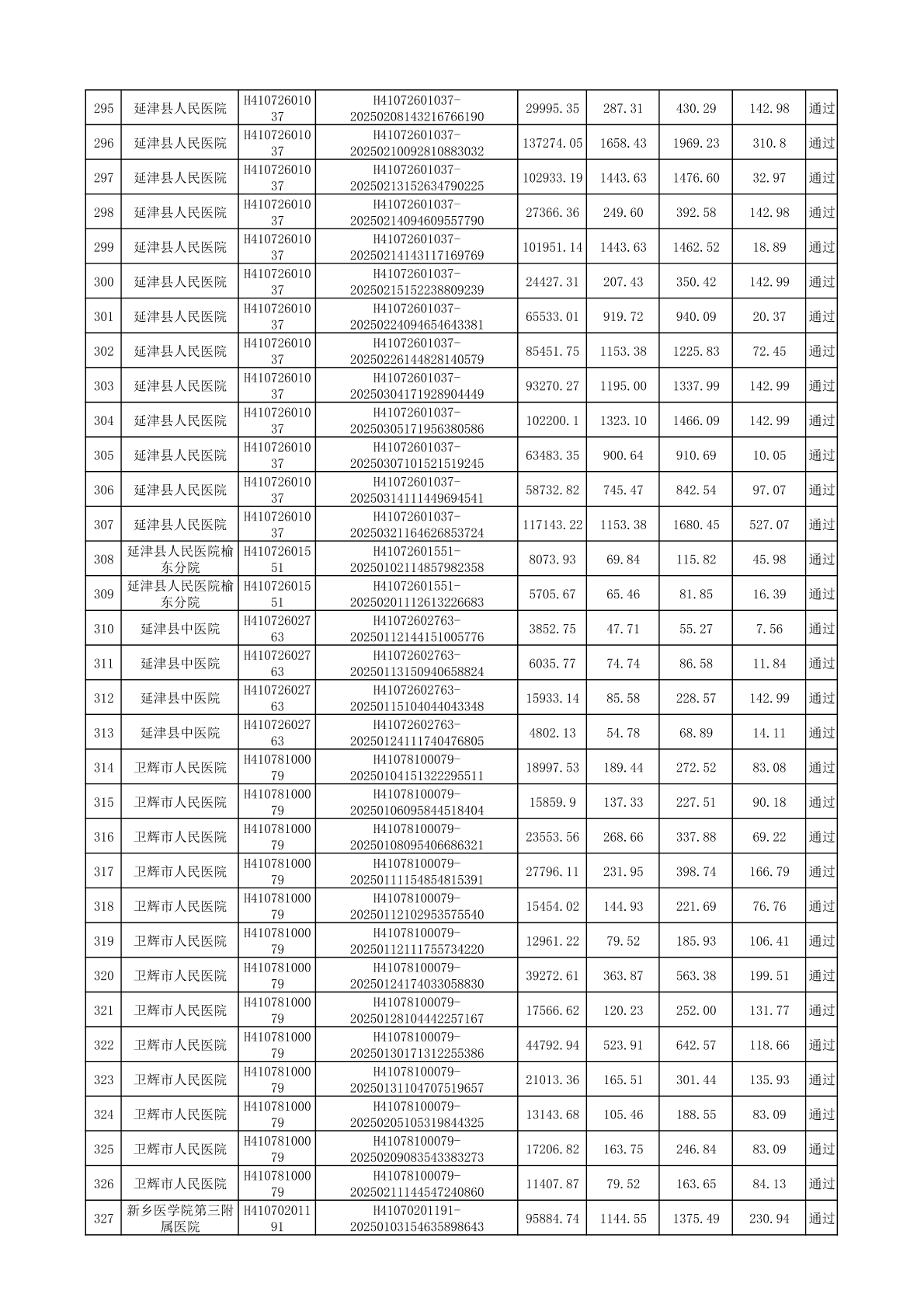
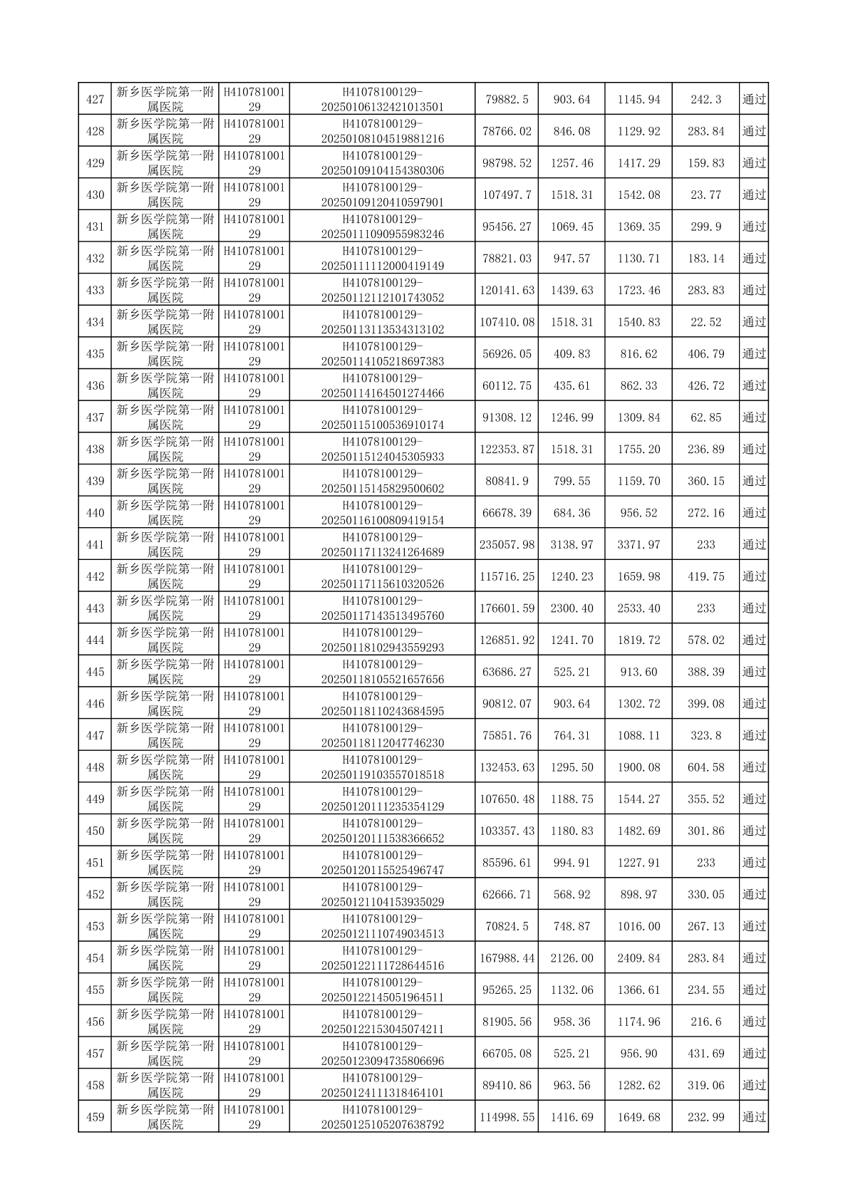
关于2025年第一季度DIP特病单议结果公示
发布日期:2025-07-07 16:49
来源:新乡市医疗保障局
阅读:
次
字号:
大
中
小
扫一扫在手机打开当前页
打印本页
返回顶部